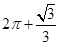
一个几何体的三视图如图所示,则该几何体的体积为( )
| A. |
| B. |
| C. |
| D. |
长方体两两相邻的三个面的面积分别为2、6和9,则长方体的体积是 ( )
| A.6 | B.3 | C.11 | D.12 |
长方体两两相邻的三个面的面积分别为2、6和9,则长方体的体积是 ( )
| A.6 | B.3 | C.11 | D.12 |
一个正四面体在平面上的射影不可能是( )
| A.正三角形 | B.三边不全相等的等腰三角形 |
| C.正方形 | D.邻边不垂直的菱形 |
某几何体的三视图如图所示,则该几何体的体积为( )![]()
| A. | B. | C. | D. |
