若不等式组
表示的平面区域是一个三角形,则a的取值范围是( )
| A. | B. | C. | D. |
定义
,设
的取值范围是 ( )
| A.[-7,10] | B.[—6,10] | C.[-6,8] | D.[—7,8] |
已知变量
满足约束条件
则
的最大值为( )![]()
| A. | B. | C. | D. |
设点
在
所确定区域内,则点
所在的区域面积为
( )
| A. | B. | C. | D. |
已知实数x,y满足约束条件
,则
的最小值是 ( )
| A.5 | B.-6 | C.10 | D.-10 |
坐标平面上的点
位于线性约束条件
所表示的区域内(含边界则目标函数
的最大值是 ………………………………………… ( )
| A.15. | B.20. | C.18. | D.25. |
已知
则满足条件
的点
所形成区域的面积为( )
| A. | B.3 | C. | D. |
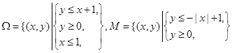
已知平面区域
,向区域
内随机投一点P,点P落在区域M内的概率为
| A. | B. | C. | D. |
若不等式组
所表示的平面区域被直线
分为面积相等的两部分,则k的值是
| A.1 | B.2 | C. | D. |