以下四个命题中正确的是 ( )
①若
,则
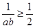
②若
,则![]()
③若
,则
④若
,则
| A.②④ | B.②③ | C.①② | D.①③ |
如果a<b<0,那么( ).
| A.a-b>0 | B.ac<bc | C. | D.a2<b2 |
若
,且
,则下列不等式中恒成立的是
| A. | B. | C. | D. |
若
,则
与
的大小关系为( )
| A. | B. | C. | D.不能确定 |
若
,则
的范围是( )
| A. | B. | C. | D. |
若
,则下列不等式成立的是( )
| A. | B. | C. | D. |
设
, 若
,则下列不等式中正确的是( )
| A. | B. | C. | D. |
若
,
,则下面结论中,正确的是( )
| A. | B. |
| C. | D. |
若
,且
,则下列不等式恒成立的是 ( )
| A. | B. | C. | D. |
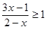
不等式
的解集是( )
| A. | B. |
| C. | D. |