设数列
的前n项和为
,且
,
(n∈
),则
的
值是( )
| A.1 | B.3 | C.9 | D.4 |
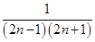
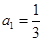
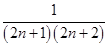
在数列
中,
,
,通过求
,猜想
的表达式为( )
A.![]() | B. | C. | D. |
已知数列
的前
项和
,则
的值是( )
| A. | B. | C. | D. |
已知数列
满足:
,
,则
=( )
| A.30 | B.14 | C.31 | D.15 |
在数列{an}中,已知对于n∈N*,有a1+a2+a3+…+an=2n-1,则a+a+…+a=( )
| A.4n-1 | B.(4n-1) | C.(2n-1) | D.(2n-1)2 |
已知数列{an}的首项a
=1,a
=a
+3(n≥2,n∈N
),则a
="( " )
| A.10 | B. 11 | C. 9 | D. 8 |
数列
的一个通项公式是( )
| A. | B. | C. | D. |
已知数列
满足
,则
=( )
| A. | B.0 | C. | D. |
已知数列{an}的首项a
=1,a
=a
+3(n≥2,n∈N
),则a
=" " ( )
| A.10 | B. 11 | C. 9 | D. 8 |
(满分6分)设
,记不超过
的最大整数为
,如
,
,令
,则
,
,
,三个数构成的数列( )
| A.是等差数列但不是等比数列 | B.是等比数列但不是等差数列 |
| C.既是等差数列又是等比数列 | D.既不是等差数列也不是等比数列 |
