数列
中,
,
,若
为等差数列,则
=( )。
| A.0 | B. | C. | D.2 |
设
是等差数列
的前n项和,
,
,则
的通项公式为( )
| A. | B. | C. | D. |
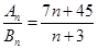
已知两个等差数列
和
的前
项和分别为A
和
,且
,
则使得
为整数的正偶数时,
的值是
| A.1 | B.2 | C.5 | D.3或11 |
各项为正整数且单调增加的等差数列
,其前15项的和等于
,这种数列有( )
| A.4种 | B.3种 | C.2种 | D.1种 |
已知等差数列
的公差为
,且
,若
,则
为
| A. | B. | C. | D. |
如果等差数列
中,
,那么![]()
| A.14 | B.21 | C.28 | D.35 |
在等差数列
中,
,则此数列的前13项的和等于( )
| A.13 | B.26 | C.8 | D.16 |
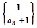
设
为等差数列,
为其前
项和,且
,则![]()
| A. | B. | C. | D. |
在等差数列
中,若
的值为( )
| A.20 | B.30 | C.40 | D.50 |
的前