数列1,2,-5,8的一个通项公式是
| A. | B. |
| C. | D. |
已知一个数列的前四项为
,则它的一个通项公式为
| A. | B. | C. | D. |
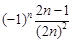
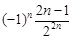
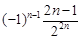
已知一个数列的前四项为
,则它的一个通项公式为
| A. | B. | C. | D. |
数列{
}的通项公式是
=
(
),那么
与
的大小关系是( )
| A. | B. |
| C. | D.不能确定 |
如图,第n个图形是由正n+2边形“扩展”而来,(n=1、2、3、…)则在第n个图形中共有( )个顶点。![]()
| A.(n+1 | B.(n+2)(n+3) | C. | D.n |
数列1,2,-5,8的一个通项公式是
| A. | B. |
| C. | D. |
已知一个数列的前四项为
,则它的一个通项公式为
| A. | B. | C. | D. |
已知一个数列的前四项为
,则它的一个通项公式为
| A. | B. | C. | D. |
数列{
}的通项公式是
=
(
),那么
与
的大小关系是( )
| A. | B. |
| C. | D.不能确定 |
如图,第n个图形是由正n+2边形“扩展”而来,(n=1、2、3、…)则在第n个图形中共有( )个顶点。![]()
| A.(n+1 | B.(n+2)(n+3) | C. | D.n |