cos
cos
+cos
sin
的值是( )
| A.0 | B. | C. | D. |
已知tanθ=2,则sin2θ+sinθcosθ-2cos2θ=( )
| A.- | B. | C.- | D. |
已知
,且
,则
等于( )
| A. | B. | C. | D. |
若有实数
,使得方程
在
上有两个不相等的实数根
,则
的值为
| A. | B.0 | C.1 | D. |
已知![]()
| A. | B. | C. | D. |
已知
,则
( )
| A. -2 | B.2 | C.0 | D.1 |
cos
cos
+cos
sin
的值是( )
| A.0 | B. | C. | D. |
已知tanθ=2,则sin2θ+sinθcosθ-2cos2θ=( )
| A.- | B. | C.- | D. |
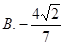
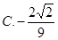
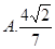
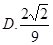
已知
,且
,则
等于( )
| A. | B. | C. | D. |
若有实数
,使得方程
在
上有两个不相等的实数根
,则
的值为
| A. | B.0 | C.1 | D. |
已知![]()
| A. | B. | C. | D. |
已知
,则
( )
| A. -2 | B.2 | C.0 | D.1 |