已知
,且
在第三象限,则
的值为
| A. | B. | C. | D. |
已知![]()
,那么函数
的周期为
。
类比可推出:已知
且
,那么函数
的周期是
| A. | B. | C. | D. |
已知函数
,函数![]()
,
若存在
、![]()
使得
成立,则实数
的取值范围是
| A. | B. | C. | D.![]() |
为了得到![]()
| A.向右平移 | B.向右平移 |
| C.向左平移 | D.向左平移 |
.函数![]()
| A. | B. | C. | D. |
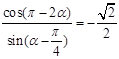
已知
,则
等于( )
| A. | B. | C. | D. |
的值为( )
| A. | B. | C. | D. |
曲线
与坐标周围成的面积 ( )
| A.4 | B.2 | C.3 | D. |
