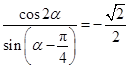
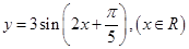
0  71893  71901  71907  71911  71917  71919  71923  71929  71931  71937  71943  71947  71949  71953  71959  71961  71967  71971  71973  71977  71979  71983  71985  71987  71988  71989  71991  71992  71993  71995  71997  72001  72003  72007  72009  72013  72019  72021  72027  72031  72033  72037  72043  72049  72051  72057  72061  72063  72069  72073  72079  72087  266669 

违法和不良信息举报电话:027-86699610 举报邮箱:58377363@163.com

精英家教网