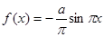
已知函数
,且
,则
的值为
| A. | B.2 | C. | D. |
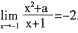
若极限
(a2-2a)n存在,则实数a的取值范围是( )
| A.(1- | B.(1- |
| C.[1- | D.[1- |
若
.则
| A.1 | B.-1 | C.-2 | D.-3 |
函数
在[0,3]上的最大值和最小值分别是( )
| A. | B. | C. | D. |
已知函数
在
处连续,则
( )
| A.0 | B.1 | C. | D. |
若![]()
,则
的值为
| A.0 | B. | C.1 | D. |
=( )
| A.—1 | B.— | C. | D.1 |
极限
存在是函数
在点
处连续的 ( )
| A.充分而不必要的条件 | B.必要而不充分的条件 |
| C.充要条件 | D.既不充分也不必要的条件 |
函数f (x)=
在点x=1和x=2处的极限值都为0,而在点x=-2处不连续,则x· f(x)<0的解集是( )
| A.(-2,0)∪(1,2) | B.(-2,2) |
| C.(-∞,-2)∪(1,2) | D.(-2,0)∪(2,+∞) |