函数
的定义域为
| A. | B. | C. | D. |
设
则( )
| A. | B. | C. | D. |
某商品销售量
(件)与销售价格
(元/件)负相关,则其回归方程可能是
| A. | B. |
| C. | D. |
若实数a,b满足a+b=2,则3a+3b的最小值是 ( )
| A.18 | B.6 | C.2 | D.2 |
函数
的单调递增区间是 ( )
| A. | B. | C. | D. |
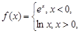
已知函数
则
= ( )
| A. | B.e | C. | D. |
若函数
在区间
内单调递增,则
的取值范围是( )
| A. | B. | C. | D. |
已知函数
若
,则
的取值范围是 ( )
| A. | B. | C. | D. |
设
,
,
,则
| A. | B. | C. | D. |