已知
是周期为2的奇函数,当
时,![]()
设![]()
则( )
| A. | B. | C. | D. |
已知
是
上的减函数,那么
的取值范围是( )
| A. | B. | C. | D. |
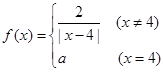
若关于x的方程
有且只有两个不同的实数根,则实数k的取值范围是
| A. | B. | C. | D. |
某产品的广告费用x与销售额y的统计数据如下表![]()
根据上表可得回归方程
中的
为9.4,据此模型预报广告费用为6万元时销售额为( )
| A.63.6万元 | B.65.5万元 | C.67.7万元 | D.72.0万元 |
下列函数中,与函数
相同的是( )
| A. | B. | C. | D. |
设
,则
的大小关系是
| A. | B. | C. | D. |
已知函数
,则不等式
的解集是( )
| A. | B. | C. | D. |
函数
,若函数
有3个零点,则实数
的
值为
| A.-4 | B.-2 | C.2 | D.4 |