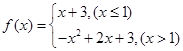
已知
,则函数
的零点个数为( )
| A.1 | B.2 | C.3 | D.4 |
对任意正整数x,y都有
,且
则
=
( )
| A. | B. | C. | D. |
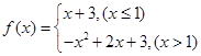
.已知
,则函数
的零点个数为( )
| A.1 | B.2 | C.3 | D.4 |
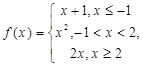
已知函数
若
则x的取值范围是
| A. | B. | C. | D. |
已知
若
| A.2 | B.2或 | C. | D. |
定义在R上的偶函数
满足:对任意
,且
,都有
,则( )
| A. | B. |
| C. | D. |
已知函数
,当x=1时有最大值1。当
时,函数
的值域为
,则
的值为
| A. | B. | C. | D. |
已知函数
则不等式
的解集是( )
| A. | B. |
| C. | D. |
设
那么![]()
| A. | B. |
| C. | D. |
函数
=
-2的图象恒过定点A,且点A在直线
上(
>0,
>0),则
的最小值为( )
| A.12 | B.10 | C.8 | D.14 |