(本小题满分12分)设函数,如果,求的取值范围.
(8分)设为定义在R上的偶函数,当时,;当时,的图像时顶点在P(3,4),且过点A(2,2)的抛物线的一部分(1)求函数在上的解析式;(2)在右面的直角坐标系中直接画出函数的图像;(3)写出函数值域。
已知函数.(1)当时,求的最小值;(2)若函数在区间上为单调函数,求实数的取值范围;(3)当时,不等式恒成立,求实数的取值范围.
设函数是定义在上的函数,且,当时,.(1)求时,的表达式;(2)解不等式:
(本小题12分)已知函数的定义域为集合A,(1)求集合;(2)若,求的取值范围;(3)若全集,,求及
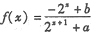
(本小题满分12分)巳知定义域为R的函数是奇函数.(I)求a,b的值;(II)若对任意的,不等式恒成立,求k的取值范围.
已知函数,.1、当时,求满足的实数的范围;2、若对任意的恒成立,求实数的范围;若存在使对任意的恒成立,其中为大于1的正整数,求的最小值.
(本题12分)设若,试求:(1)的值。(2)的值
(本小题满分12分)已知函数(I)若,求的定义域;(II) 若在区间上是减函数,求实数的取值范围.
(本小题13分)已知函数,实数a,b为常数),(Ⅰ)若a=1,在(0,+∞)上是单调增函数,求b的取值范围;(Ⅱ)若a≥2,b=1,判断方程在(0,1]上解的个数。