设f(x)、g(x)分别是定义在R上的奇函数和偶函数,当x<0时,
>0.且g(3)=0.则不等式f(x)g(x)<0的解集是 ( )
| A. (-3,0)∪(3,+∞) | B. (-3,0)∪(0, 3) |
| C. (-∞,- 3)∪(3,+∞) | D. (-∞,- 3)∪(0, 3) |
设函数
的图象关于直线
对称,则
的值为( )
| A. | B. | C. | D. |
设函数
,则
在
处的切线斜率为( )
| A. | B. | C. | D. |
设f(x)为奇函数, 且在(-∞, 0)内是减函数, f(-2)=" 0," 则x f(x)<0的解集为 ( )
| A.(-2, 0)∪(2, +∞) | B.(-∞, -2)∪(0, 2 ) |
| C.(-2, 0)∪(0, 2 ) | D.(-∞, -2)∪(2, +∞) |
设
函数图象与x轴围成封闭区域的面积为( )
| A. | B. | C. | D. |
已知函数
为奇函数,
则![]()
=( )
| A.2012 | B.2011 | C.4020 | D.4022 |
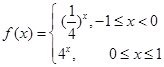
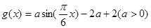
已知函数
函数
,若存在
,使得
成立,则实数
的取值范围是
| A. | B. | C. | D. |