函数
的定义域为( )
| A.(-3,1) | B.(1,3) | C.(-3,-1) | D.(-1,3) |
设函数f(x)=
,若f(x0)>1,则x0的取值范围是
| A.(-1,1) | B.(-1,+ |
| C.(- | D.(- |
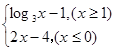
若函数f(n)=
,an=f(n)+f(n+1),则a1+a2+a3+…+a2012=
| A.-1 | B.0 | C.1 | D.2 |
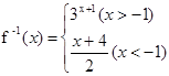
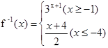
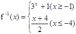
函数f(
)=
的反函数是
| A. | B. |
| C. | D. |
设函数
为奇函数,则实数
( )
| A. -1 | B. 1 | C. 2 | D.3 |
设函数f (x)是(-
,+
)上的减函数,又若a
R,则( )
| A.f (a)>f (2a) | B.f (a2)<f (a) |
| C.f (a2+a)<f (a) | D.f (a2+1)<f (a) |
函数y=
是( )
| A.奇函数 | B.偶函数 |
| C.既是奇函数又是偶函数 | D.非奇非偶数 |
已知函数
,且
,
的导函数,
函数
的图象如图所示. 则平面区域
所围成的面积是 ![]()
| A.2 | B.4 | C.5 | D.8 |
