集合A={(x,y)|y=a},集合B={(x,y)|y=
+1,b>0,b≠1},若集合A∩B
,则实数a的取值范围是 ( )
| A.(-∞,1) | B.(-∞,1] |
| C.(1,+∞) | D.[1,+∞) |
若
,则
( )
| A. | B. |
| C. | D. |
若集合M={-1, 0,1},N={0,1,2},则M∩N等于 ( )
| A.{0,1} | B.{-1,0,1} |
| C.{0,1,2} | D.{-1,0, 1,2} |
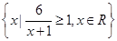
设集合
,则a的取值范围是( )
| A. | B. |
| C. | D. |
已知集合A={0,1,2,3,4,5},B={1,3,6,9},C={3,7,8},则(A∩B)∪C等于( )
| A.{0,1,2,6,8} | B.{3,7,8} | C.{1,3,7,8} | D.{1,3,6,7,8} |
集合
,则
( )
| A.{1} | B.{0} | C.{0,1} | D.{– 1,0,1} |
已知{1,2}
M
{1,2,3,4},则这样的集合M有( )个
| A.2 | B.3 | C.4 | D.5 |
设集合![]()
( )
| A. | B. |
| C. | D. |
已知集合A={-1,1},B={x∈R|x2-x-2=0},则A∩B=( )
| A.{1} | B. | C.{-1,1} | D.{-1} |