某赛季,甲、乙两校篮球队进行了10场训练赛,比赛得分情况记录如下表:
| 训练赛序号(i) | 1 | 2 | 3 | 4 | 5 | 6 | 7 | 8 | 9 | 10 |
| 甲校队得分(xi) | 55 | 81 | 84 | 61 | 54 | 74 | 82 | 83 | 69 | 57 |
| 乙校队得分(yi) | 58 | 84 | 86 | 71 | 57 | 73 | 83 | 85 | 68 | 63 |
(1)根据得分记录表,填充以下得分茎叶图(图1),并根据茎叶图,比较甲、乙校队的得分,直接写出两个统计结论;
(2)设甲校队10场比赛得分平均值为
,将该队10场比赛得分xi依次输入程序框图(图2)进行运算,求输出S的大小,并说明S的统计意义.
![]()
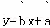
“五•一”期间,商业部门对城区4家超市某商品一天的销售量与价格进行随机调查,统计数据如下表.由表中数据算出回归方程
中的
,则
= .
| 售价x(元) | 12 | 11 | 10 | 7 |
| 销售量y(件) | 27 | 32 | 41 | 52 |
在△ABC,
,则△ABC是( )
|
| A. | 锐角三角形 | B. | 直角三角形 | C. | 钝角三角形 | D. | 以上该有可能 |
要得到函数y=sin(2x+2)的图象,只要将函数y=sin2x的图象( )
|
| A. | 向右平移2个单位长度 | B. | 向左平移2个单位长度 |
|
| C. | 向右平移1个单位长度 | D. | 向左平移1个单位长度 |
我国古代“五行”学说认为:世间万物分属金、木、水、火、土五行,五行相生相克,其中相克关系是:金克木,木克土,土克水,水克火,火克金.据此学说,从五种不同属性的物质中随机抽取两种,这两种物质不相克的概率是( )
|
| A. |
| B. |
| C. |
| D. |
|