若幂函数f(x)的图象经过点A(
),是它在A点处的切线方程为( )
|
| A. | 4x+4y+1=0 | B. | 4x﹣4y+1=0 | C. | 2x﹣y=0 | D. | 2x+y=0 |
命题“存在实数x,,使x>1”的否定是( )
|
| A. | 对任意实数x,都有x>1 | B. | 不存在实数x,使x≤1 |
|
| C. | 对任意实数x,都有x≤1 | D. | 存在实数x,使x≤1 |
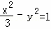
设双曲线
的一条渐近线与抛物线y=x2+1只有一个公共点,则双曲线的离心率为( )
|
| A. |
| B. | 5 | C. |
| D. |
|
双曲线
的右焦点和抛物线y2=2px的焦点相同,则p=( )
|
| A. | 2 | B. | 4 | C. |
| D. |
|
设函数数f(x)=2x+
﹣1(x<0),则f(x)( )
|
| A. | 有最大值 | B. | 有最小值 | C. | 是增函数 | D. | 是减函数 |
a<0是方程ax2+1=0有一个负根的( )
|
| A. | 必要不充分条件 | B. | 充分必要条件 |
|
| C. | 充分不必要条件 | D. | 既不充分也不必要条件 |
若A={x|x+1>0},B={x|x﹣3<0},则A∩B=( )
|
| A. | (﹣1,+∞) | B. | (﹣∞,3) | C. | (﹣1,3) | D. | (1,3) |