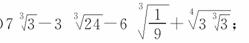
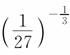
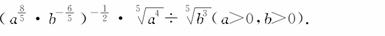
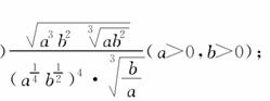
0 69373 69381 69387 69391 69397 69399 69403 69409 69411 69417 69423 69427 69429 69433 69439 69441 69447 69451 69453 69457 69459 69463 69465 69467 69468 69469 69471 69472 69473 69475 69477 69481 69483 69487 69489 69493 69499 69501 69507 69511 69513 69517 69523 69529 69531 69537 69541 69543 69549 69553 69559 69567 266669