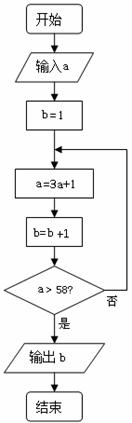
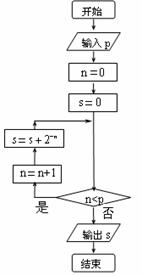
0  66497  66505  66511  66515  66521  66523  66527  66533  66535  66541  66547  66551  66553  66557  66563  66565  66571  66575  66577  66581  66583  66587  66589  66591  66592  66593  66595  66596  66597  66599  66601  66605  66607  66611  66613  66617  66623  66625  66631  66635  66637  66641  66647  66653  66655  66661  66665  66667  66673  66677  66683  66691  266669 

违法和不良信息举报电话:027-86699610 举报邮箱:58377363@163.com

精英家教网