函数与在同一直角坐标系下的图象大致是
函数的定义域为 ( )
A. B.
C. D.
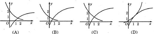
已知a>0且a≠1,函数,在同一坐标系中的图象可能是
(A)
(B)
(C)
(D)
函数y=的反函数 ( )。
A.是奇函数,它在(0, +∞)上是减函数 B.是偶函数,它在(0, +∞)上是减函数
C.是奇函数,它在(0, +∞)上是增函数 D.是偶函数,它在(0, +∞)上是增函数
已知函数f(x)= 则f[f()]的值是 ( )
A.9 B. C.-9 D.-
已知,则“”是“”的 ( )
A.充分不必要条件 B.必要不充分条件
C.充要条件 D.既不充分也不必要条件
已知函数,是的反函数,若的图象经过(3,4),则=( )
A. B. C.2 D.
已知集合,则= ( )
A.(0,) B.[,1] C. D.
函数y= l+logx(a>0且的反函数是
A. B,
C. D.
已知偶函数满足,且时,则方程根的个数是
A. 2 B. 3 C. 4 D.多于 4