写出求过两点M(-2,-1)、N(2,3)的直线与坐标轴围成面积的一个算法。
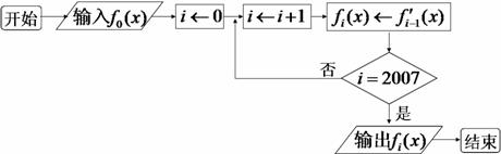
在如下程序框图中,输入,则输出的是___ ____。
在设计求解一元一次方程为常数)的算法时,需要用条件语句判断 。
如下是一个程序操作流程图:
按照这个工序流程图,一件成品可能经过 道加工和检验程序, 环节可能导致废品产生。
写出求 的一个算法,可运用公式直接计算,第一步 ;第二步 ;第三步输出计算结果。
对于一元次多项式,可以通过一次式的反复计算,逐步得到高次多项式值的方法,称为秦九韶算法。使用秦九朝算法求,当时的值可减少运算次数,做加法和乘法的次数分别为( )
A. B. C. D.
用辗转相除法计算60和48的最大公约数时,需要做的除法次数是( )
A.1 B.2 C.3 D.4
计算下列各式中的S的值,能设计算法求解的是( )
①;②;③
A.①② B.①③ C.②③ D.①②③
普通高中新课程标准实验教科书(数学必修3)知识结构框图如下,则空白的框内应该填入( )
A.分层抽样、相关关系、相关系数 B.分层抽样、相关系数、相关关系
C.相关关系、分层抽样、相关系数 D.相关系数、相关关系、分层抽样
当时,下面程序段输出的结果是( )
A.9 B.3 C.10 D.6