2013年12月21日上午10时,石家庄首次启动重污染天气Ⅱ级应急响应,正式实施机动车尾号限行,当天某报社为了解公众对“车辆限行”的态度,随机抽查了50人,将调查情况进行整理后制成下表:
| 年龄/岁 | [15,25) | [25,35) | [35,45) | [45,55) | [55,65) | [65,75) |
| 频数 | 5 | 10 | 15 | 10 | 5 | 5 |
| 赞成人数 | 4 | 6 | 9 | 6 | 3 | 4 |
(1)完成被调查人员的频率分布直方图;
![]()
(2)若从年龄在[15,25),[25,35)的调查者中各随机选取两人进行追踪调查,记选中的4人中不赞成“车辆限行”的人数为ξ,求随机变量ξ的分布列和数学期望.
一次考试中,五名学生的数学、物理成绩如下表所示:
| 学生 | A1 | A2 | A3 | A4 | A5 |
| 数学成绩x/分 | 89 | 91 | 93 | 95 | 97 |
| 物理成绩y/分 | 87 | 89 | 89 | 92 | 93 |
(1)要从5名学生中选2人参加一项活动,求选中的学生中至少有一人的物理成绩高于90分的概率;
![]()
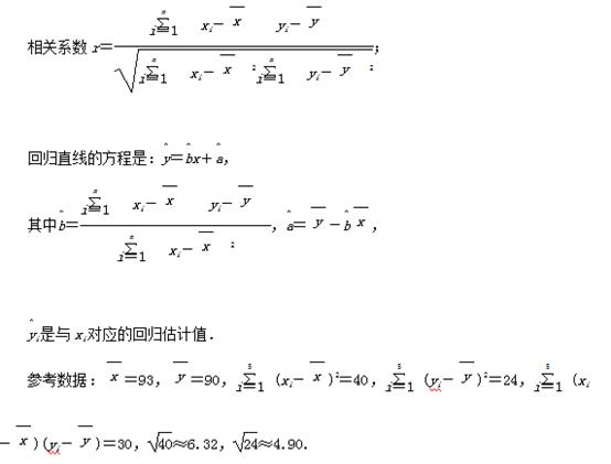
(2)根据上表数据,用变量y与x的相关系数和散点图说明物理成绩y与数学成绩x之间线性相关关系的强弱.如果具有较强的线性相关关系,求y与x的线性回归方程(系数精确到0.01);如果不具有线性相关关系,请说明理由.
参考公式:
![]()
随机询问某大学40名不同性别的大学生在购买食物时是否读营养说明,得到如下列联表:
性别与是否读营养说明列联表
|
| 男 | 女 | 总计 |
| 读营养说明 | 16 | 8 | 24 |
| 不读营养说明 | 4 | 12 | 16 |
| 总计 | 20 | 20 | 40 |
(1)根据以上列联表进行独立性检验,能否在犯错误的概率不超过0.01的前提下认为性别与是否读营养说明之间有关系?
(2)从被询问的16名不读营养说明的大学生中,随机抽取2名学生,求抽到男生人数ξ的分布列及其均值(即数学期望).
![]()