搜索
若函数y=f(x)的图象与函数y=lg(x+1)的图象关于直线x-y=0对称,则f(x)=
[ ]
A.10
x
-1
B.1-10
x
C.1-10
-x
D.10
-x
-1
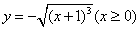
函数y=3
x+1
(-1≤x<0)的反函数是
[ ]
A.
B.
C.
D.
函数
的反函数是
[ ]
A、
B、
C、
D、
记函数y=1+3
-x
的反函数为y=g(x),则g(10)=
[ ]
A.2
B.-2
C.3
D.-1
函数y=e
2x
(x∈R)的反函数为
[ ]
A.y=2lnx(x>0)
B.y=ln(2x)(x>0)
C.
D.
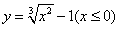
函数y=2
-x
+1(x>0)的反函数是
[ ]
A、
B、
C、
D、
设f
-1
(x)是f(x)=log
2
(x+1)的反函数,若[1+f
-1
(a)][1+f
-1
(b)]=8,则f(a-b)的值为
[ ]
A.1
B.2
C.3
D.log
2
3
函数y=2
-x
+1(x>0)的反函数是
[ ]
A.y=log
2
,x∈(1,2)
B.y=-log
2
,x∈(1,2)
C.y=log
2
,x∈(1,2]
D.y=-log
2
,x∈(1,2]
函数f(x)=x
2
+1(x≤0)的反函数f
-1
(x)=( )。
已知函数f(x)=ln(e
x
+a)(a>0)。
(1)求函数y=f(x)的反函数y=f
-1
(x)及f(x)的导数f′(x);
(2)假设对任意x∈[ln(3a),ln(4a)],不等式|m-f
-1
(x)|+ln(f′(x))<0成立,求实数m的取值范围。
0
16137
16145
16151
16155
16161
16163
16167
16173
16175
16181
16187
16191
16193
16197
16203
16205
16211
16215
16217
16221
16223
16227
16229
16231
16232
16233
16235
16236
16237
16239
16241
16245
16247
16251
16253
16257
16263
16265
16271
16275
16277
16281
16287
16293
16295
16301
16305
16307
16313
16317
16323
16331
266669
关 闭
试题分类
高中
数学
英语
物理
化学
生物
地理
初中
数学
英语
物理
化学
生物
地理
小学
数学
英语
其他
阅读理解答案
已回答习题
未回答习题
题目汇总
试卷汇总
练习册解析答案