搜索
已知函数f(x)=
,若0<x
1
<x
2
<1,则
[ ]
A.
B.
C.
D.无法判断
与
的大小
下列函数既是奇函数,又在区间[﹣1,1]上单调递减的是
[ ]
A.f(x)=sinx
B.f(x)=﹣|x+1|
C.
D.
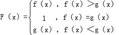
函数f(x)=-|x-1|,g(x)=x
2
-2x,定义
,
则F(x)满足
[ ]
A.既有最大值,又有最小值
B.有最大值,无最小值
C.无最大值,有最小值
D.既无最大值,又无最小值
已知定义在R的奇函数f(x),在[0,+∞)上单调递减,且 f(2﹣a)+f(1﹣a)<0,则a的取值( )。
定义在R上的奇函数f(x)在区间[1,4]上是增函数,在区间[2,3]上的最大值为8,最小值为﹣1,则2f(﹣2)+f(3)+f(0)=( )。
若奇函数f(x)在(-∞,0)上是增函数,且f(﹣1)=0,则使得f(x)>0的x取值范围是( )
已知函数
的最大值为M,最小值为m,则
的值为
[ ]
A.
B.
C.
D.
已知函数f(x)是定义在[﹣1,1]上的奇函数,当x∈[0,1]时,f(x)=2x+ln(x+1)﹣1.
(1)求函数f(x)的解析式;并判断f(x)在[﹣1,1]上的单调性(不要求证明);
(2)解不等式f(2x﹣1)+f(1﹣x
2
)≥0.
如图,在半径为30cm的半圆形(O为圆心)铝皮上截取一块矩形材料ABCD,其中点A、B在直径上,点C、D在圆周上.
(1)怎样截取才能使截得的矩形ABCD的面积最大?并求最大面积;
(2)若将所截得的矩形铝皮ABCD卷成一个以AD为母线的圆柱形罐子的侧面(不计剪裁和拼接损耗),应怎样截取,才能使做出的圆柱形形罐子体积最大?并求最大面积.
已知
的解集为
[ ]
A.(﹣1,0)∪(0,e)
B.(﹣∞,﹣1)∪(e,+∞)
C.(﹣1,0)∪(e,+∞)
D.(﹣∞,1)∪(0,e)
0
14057
14065
14071
14075
14081
14083
14087
14093
14095
14101
14107
14111
14113
14117
14123
14125
14131
14135
14137
14141
14143
14147
14149
14151
14152
14153
14155
14156
14157
14159
14161
14165
14167
14171
14173
14177
14183
14185
14191
14195
14197
14201
14207
14213
14215
14221
14225
14227
14233
14237
14243
14251
266669
关 闭
试题分类
高中
数学
英语
物理
化学
生物
地理
初中
数学
英语
物理
化学
生物
地理
小学
数学
英语
其他
阅读理解答案
已回答习题
未回答习题
题目汇总
试卷汇总
练习册解析答案