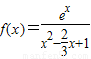
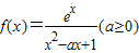
题目内容
已知函数(Ⅰ)试讨论函数f(x)的单调区间;
(Ⅱ)若
【答案】分析:(Ⅰ)先求导函数,然后讨论a,得到导数符号,从而得到函数的单调区间;
(Ⅱ)分离参数,确定函数的最值,即可求得k的取值范围.
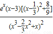
解答:解:(Ⅰ)f′(x)=
,
当a=0时,函数定义域为R,f′(x)=
≥0,∴f(x)在R上单调递增
当a∈(0,2)时,∵△=a2-4<0∴x2-ax+1>0恒成立,函数定义域为R,又a+1>1,
∴f(x)在(-∞,1)上单调递增,(1,1+a)单调递减,(1+a,+∞)单调递增
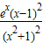
当a=2时,函数定义域为(-∞,1)∪(1,+∞),f′(x)=
∴f(x)在(-∞,1)上单调递增,(1,3)上单调递减,(3,+∞)上单调递增
当a∈(2,+∞)时,∵△=a2-4>0,设x2-ax+1=0的两个根为x1,x2,且x1<x2,
由韦达定理易知两根均为正根,且0<x1<1<x2,所以函数的定义域为(-∞,x1)∪(x2,+∞)
又对称轴x=
<a+1,且(a+1)2-a(a+1)+1=a+2>0,x2<a+1
∴f(x)在(-∞,x1),(x1,1)单调递增,(1,x2),(x2,a+1)上单调递减,(1+a,+∞)单调递增;
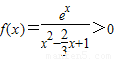
(Ⅱ)若
,
的定义域为R,
恒成立
由(Ⅰ)知,f(x)在(-∞,1),(3,+∞)上单调递增,在(1,3)上单调递减,f(0)=1
∴k<0,不等式f(x)≥kx在(-∞,0)上不恒成立,∴k≥0
不妨考虑x>0,则k≤
设g(x)=
,则g′(x)=
∴g(x)在(0,3)上单调递减,(3,+∞)上单调递增
∴g(x)min=g(3)=
∴k的取值范围是k∈[0,
].
点评:本题主要考查了函数恒成立问题,以及利用导数研究函数的单调性和最值,同时考查了转化的思想和计算能力,属于难题.
(Ⅱ)分离参数,确定函数的最值,即可求得k的取值范围.
解答:解:(Ⅰ)f′(x)=
当a=0时,函数定义域为R,f′(x)=
当a∈(0,2)时,∵△=a2-4<0∴x2-ax+1>0恒成立,函数定义域为R,又a+1>1,
∴f(x)在(-∞,1)上单调递增,(1,1+a)单调递减,(1+a,+∞)单调递增
当a=2时,函数定义域为(-∞,1)∪(1,+∞),f′(x)=
∴f(x)在(-∞,1)上单调递增,(1,3)上单调递减,(3,+∞)上单调递增
当a∈(2,+∞)时,∵△=a2-4>0,设x2-ax+1=0的两个根为x1,x2,且x1<x2,
由韦达定理易知两根均为正根,且0<x1<1<x2,所以函数的定义域为(-∞,x1)∪(x2,+∞)
又对称轴x=
∴f(x)在(-∞,x1),(x1,1)单调递增,(1,x2),(x2,a+1)上单调递减,(1+a,+∞)单调递增;
(Ⅱ)若
由(Ⅰ)知,f(x)在(-∞,1),(3,+∞)上单调递增,在(1,3)上单调递减,f(0)=1
∴k<0,不等式f(x)≥kx在(-∞,0)上不恒成立,∴k≥0
不妨考虑x>0,则k≤
设g(x)=
∴g(x)在(0,3)上单调递减,(3,+∞)上单调递增
∴g(x)min=g(3)=
∴k的取值范围是k∈[0,
点评:本题主要考查了函数恒成立问题,以及利用导数研究函数的单调性和最值,同时考查了转化的思想和计算能力,属于难题.
练习册系列答案
相关题目