题目内容
已知数列{an}的前n项和为Sn,且a1=1,an+1=2Sn.(1)求a2,a3,a4的值;
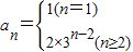
(2)求数列{an}的通项公式an;
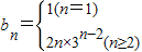
(3)设bn=nan,求数列{bn}的前n项和Tn.
【答案】分析:(1)由a1=1,an+1=2sn,分别令n=1,2,3求出a2,a3,a4的值;
(2)由an+1=2sn及
求得an,
(3)把(2)求得an代入中bn,应用错位相减法求和.
解答:解:(1)∵a1=1,
∴a2=2a1=2,a3=2S2=6,a4=2S3=18,
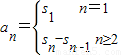
(2)∵an+1=2S1,∴aN=2Sn-1(n≥2),
∴an+1-an=2an,
(n≥2)
又
,∴数列{an}自第2项起是公比为3的等比数列,
∴
,
(3)∵bn=nan,∴
,
∴Tn=1+2×2×3+2×3×31+2×4×32++2×n×3n-2,…①
3Tn=3+2×2×31+2×3×32+2×4×33++2×n×3n-1…②(12分)
①-②得-2Tn=-2+2×2×3+2×31+2×32++2×3n-2-2×n×3n-1
=2+2(3+32+33++3n-2)-2n×3n-1=(1-2n)×3n-1-1
∴
.(14分)
点评:由数列前n 项和求数列通项公式时,一定注意n=1的情况,体现了分类讨论的数学思想;属中档题.
(2)由an+1=2sn及
(3)把(2)求得an代入中bn,应用错位相减法求和.
解答:解:(1)∵a1=1,
∴a2=2a1=2,a3=2S2=6,a4=2S3=18,
(2)∵an+1=2S1,∴aN=2Sn-1(n≥2),
∴an+1-an=2an,
又
∴
(3)∵bn=nan,∴
∴Tn=1+2×2×3+2×3×31+2×4×32++2×n×3n-2,…①
3Tn=3+2×2×31+2×3×32+2×4×33++2×n×3n-1…②(12分)
①-②得-2Tn=-2+2×2×3+2×31+2×32++2×3n-2-2×n×3n-1
=2+2(3+32+33++3n-2)-2n×3n-1=(1-2n)×3n-1-1
∴
点评:由数列前n 项和求数列通项公式时,一定注意n=1的情况,体现了分类讨论的数学思想;属中档题.
练习册系列答案
相关题目
已知数列{an}的前n项和Sn=an2+bn(a、b∈R),且S25=100,则a12+a14等于( )
| A、16 | B、8 | C、4 | D、不确定 |