题目内容
已知中心在原点O,焦点在x轴上,离心率为(1)求椭圆的方程;
(2)设不过原点O的直线l与该椭圆交于P,Q两点,满足直线OP,PQ,OQ的斜率依次成等比数列,求△OPQ面积的取值范围.
【答案】分析:(1)设出椭圆的方程,将已知点代入椭圆的方程及利用椭圆的离心率公式得到关于椭圆的三个参数的等式,解方程组求出a,b,c的值,代入椭圆方程即可.
(2)设出直线的方程,将直线方程与椭圆方程联立,消去x得到关于y的二次方程,利用韦达定理得到关于两个交点的坐标的关系,将直线OP,PQ,OQ的斜率用坐标表示,据已知三个斜率成等比数列,列出方程,将韦达定理得到的等式代入,求出k的值,利用判别式大于0得到m的范围,将△OPQ面积用m表示,求出面积的范围.
解答:解:(1)由题意可设椭圆方程为
(a>b>0),则
则
故
所以,椭圆方程为
.
(2)由题意可知,直线l的斜率存在且不为0,
故可设直线l的方程为y=kx+m(m≠0),P(x1,y1),Q(x2,y2),
由
消去y得
(1+4k2)x2+8kmx+4(m2-1)=0,
则△=64k2b2-16(1+4k2b2)(b2-1)=16(4k2-m2+1)>0,
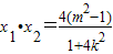
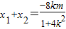
且
,
.
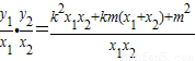
故y1y2=(kx1+m)(kx2+m)=k2x1x2+km(x1+x2)+m2.
因为直线OP,PQ,OQ的斜率依次成等比数列,
所以
=k2,
即
+m2=0,又m≠0,
所以k2=
,即k=
.
由于直线OP,OQ的斜率存在,且△>0,得
0<m2<2且m2≠1.
设d为点O到直线l的距离,
则S△OPQ=
d|PQ|=
|x1-x2||m|=
,
所以S△OPQ的取值范围为(0,1).
点评:求圆锥曲线的方程,一般利用待定系数法;解决直线与圆锥曲线的位置关系问题,一般设出直线方程,将直线方程与圆锥曲线方程联立,消去一个未知数,得到关于一个未知数的二次方程,利用韦达定理,找突破口.注意设直线方程时,一定要讨论直线的斜率是否存在.
(2)设出直线的方程,将直线方程与椭圆方程联立,消去x得到关于y的二次方程,利用韦达定理得到关于两个交点的坐标的关系,将直线OP,PQ,OQ的斜率用坐标表示,据已知三个斜率成等比数列,列出方程,将韦达定理得到的等式代入,求出k的值,利用判别式大于0得到m的范围,将△OPQ面积用m表示,求出面积的范围.
解答:解:(1)由题意可设椭圆方程为
则
所以,椭圆方程为
(2)由题意可知,直线l的斜率存在且不为0,
故可设直线l的方程为y=kx+m(m≠0),P(x1,y1),Q(x2,y2),
由
(1+4k2)x2+8kmx+4(m2-1)=0,
则△=64k2b2-16(1+4k2b2)(b2-1)=16(4k2-m2+1)>0,
且
故y1y2=(kx1+m)(kx2+m)=k2x1x2+km(x1+x2)+m2.
因为直线OP,PQ,OQ的斜率依次成等比数列,
所以
即
所以k2=
由于直线OP,OQ的斜率存在,且△>0,得
0<m2<2且m2≠1.
设d为点O到直线l的距离,
则S△OPQ=
所以S△OPQ的取值范围为(0,1).
点评:求圆锥曲线的方程,一般利用待定系数法;解决直线与圆锥曲线的位置关系问题,一般设出直线方程,将直线方程与圆锥曲线方程联立,消去一个未知数,得到关于一个未知数的二次方程,利用韦达定理,找突破口.注意设直线方程时,一定要讨论直线的斜率是否存在.
练习册系列答案
相关题目