题目内容
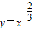
下列函数中,既是偶函数,又是在区间(0,+∞)上单调递减的函数是( )A.
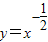
B.
C.y=2|x|
D.y=cos
【答案】分析:根据幂函数,指数函数,余弦函数的图象和性质及函数图象的对折变换,逐一分析四个答案中函数的奇偶性及单调性,可得答案.
解答:解:A中,
是偶函数,又是在区间(0,+∞)上单调递减;
B中,
是非奇非偶函数,在区间(0,+∞)上单调递减;
C中,y=2|x|是偶函数,但是在区间(0,+∞)上单调递增;
D中,y=cosx偶函数,但是在区间(0,+∞)上有无数个单调增区间和单调减区间
故选A
点评:本题考查的知识点是函数的奇偶性,函数的单调性,熟练掌握各种基本初等函数的单调性和奇偶性是解答的关键.
解答:解:A中,
B中,
C中,y=2|x|是偶函数,但是在区间(0,+∞)上单调递增;
D中,y=cosx偶函数,但是在区间(0,+∞)上有无数个单调增区间和单调减区间
故选A
点评:本题考查的知识点是函数的奇偶性,函数的单调性,熟练掌握各种基本初等函数的单调性和奇偶性是解答的关键.
练习册系列答案
相关题目
下列函数中,既是偶函数又在(0,+∞)单调递增的函数是( )
| A、y=x3 | B、y=cosx | C、y=ln|x| | D、y=2x |