题目内容

已知函数其中

(Ⅰ)若是函数的极值点,求实数的值;

(Ⅱ)若对任意的为自然对数的底数)都有成立,求实数的取值范围

 

【答案】

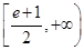
(Ⅰ);(Ⅱ)

【解析】

试题分析:(Ⅰ)若是函数的极值点,求实数的值,先函数的定义域,与极值有关,可通过求导解决.对求导,由题意可知,可求出的值;(Ⅱ)若对任意的都有成立,即上的最小值大于或等于上的最大值,从而转化为分别求函数的最小值、最大值,由它们的最值,从而确定出实数的取值范围.

试题解析:(I)解法1:∵h(x)=2x++lnx,其定义域为(0,+∞), (1分)

∴h'`(x)=2--         (3分)

∵x=1是函数h(x)的极值点,∴h'(1)=0,即3-a2=0.∵a>0,∴a=

经检验当a=时,x=1是函数h(x)的极值点,∴a=.       (5分)

解法2:∵h(x)=2x++lnx,其定义域为(0,+∞),

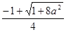
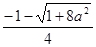
∴h'`(x)=2--.   令h`(x)=0,即2--=0,整理,得2x2+x-a=0.

∵D=1+8a2>0,

∴h`(x)=0的两个实根x1=(舍去),x2=

变化时,h(x),h`(x)的变化情况如下表:

x

(0,x2)

(x2,+∞)

h`(x)

-

0

+

h(x)

极小值

依题意,=1,即a2=3,∵a>0,∴a=

(Ⅱ)对任意的x1,x2∈[1,e]都有f(x1)≥g(x2)成立等价于对任意的x1,x2∈[1,e]都有[f(x)]min≥[g(x)]max

(6分)

当x∈[1,e]时,g`(x)=1+>0.

∴函数g(x)=x+lnx在[1,e]上是增函数.∴[g(x)]max=g(e)=e+1.     (8分)

∵f'`(x)=1-=,且x∈[1,e],a>0.

①当0<a<1且x∈[1,e]时,f`(x)>0,

∴函数f(x)=x+在[1,e]上是增函数,

∴[f(x)]min=f(1)=1+a2,由1+a2≥e+1,得a≥,又∵0<a<1,

不合题意.      (10分)

②当1≤a≤e时,

若1≤x<a,则f'`(x)=<0;若a<x≤e,则f`(x)=>0.

∴函数f(x)=x+在[1,a]上是减函数,在(a,e]上是增函数.

∴[f(x)]min=f(a)=2a.

由2a≥e+1,得a≥,又1≤a≤e,∴≤a≤e.     (12分)

③当a>e且x∈[1,e]时,f'(x)=<0,

∴函数f(x)=x+在[1,e]上是减函数.

∴[f(x)]min=f(e)=e+,由e+≥e+1,得a≥,      (13分)

综上所述,a的取值范围为[,+∞)         (14分)

考点:函数在某点取得极值的条件;函数恒成立问题.

 

练习册系列答案
相关题目

违法和不良信息举报电话:027-86699610 举报邮箱:58377363@163.com

精英家教网