题目内容
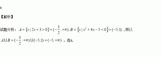
设集合,则( )
A. B. C. D.
若,,则等于( )
如果PA、PB、PC两两垂直, 那么点P在平面ABC内的投影一定是△ABC( )
A.重心 B.内心 C.外心 D.垂心
已知函数,则的最小正周期是 .
若非零向量满足,且,则与的夹角为( )
设数列的前和为,已知.
(1)求出数列的通项公式;
(2)求数列的前和为 .
执行如图所示的程序框图,若输入的值为,则输出的值是 .
如图(1),等腰直角三角形的底边,点在线段上,于,现将沿折起到的位置(如图(2))
(1)求证:;
(2)若,直线与平面所成的角为,求长.
已知函数.
(1)求函数的单调区间;
(2)若当时,函数的图象恒在函数的图象的上方,求实数的取值范围.