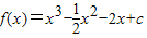
题目内容
已知(1)若f(x)的图象有与x轴平行的切线,求b的取值范围;
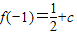
(2)若f(x)在x=1时取得极值,且x∈(-1,2),f(x)<c2恒成立,求c的取值范围.
【答案】分析:(1)图象有与x轴平行的切线,即切线斜率为0,也就是存在x使得导函数为0,对原函数求导令其等于0即可解决;
(2)在极值处导函数为0,可以求出b,再将恒成立问题转化为函数的最大值,利用函数的导数即可求最大值,进而解决问题.
解答:解:(1)由
∴f'(x)=3x2-x+b(2分)
由己知f'(x)=0有实数解,∴△=1-12b≥0,故
(3分)
(2)∵f(x)在x=1时取得极值
∴x=1是方程3x2-x+b=0的一个根,设另一根为x
则
,∴
(2分)
∴
,f'(x)=3x2-x-2
当
时,f'(x)>0;
当
时,f'(x)<0;
当x∈(1,2)时,f'(x)>0
∴当
时,f(x)有极大值
又
,f(2)=2+c,
即当x∈[-1,2]时,f(x)的量大值为f(2)=2+c(3分)
∵对x∈(-1,2)时,f(x)<c2恒成立,∴c2≥2+c,∴c≤-1或c≥2(3分)
故c的取值范围是:(-∞,-1]∪[2,+∞)(1分)
点评:本题考查函数的导数的几何意义,导数值是该点处切线的斜率值,以及函数的导数在函数的最值中的应用和不等式恒成立问题,属于中档题.
(2)在极值处导函数为0,可以求出b,再将恒成立问题转化为函数的最大值,利用函数的导数即可求最大值,进而解决问题.
解答:解:(1)由
∴f'(x)=3x2-x+b(2分)
由己知f'(x)=0有实数解,∴△=1-12b≥0,故
(2)∵f(x)在x=1时取得极值
∴x=1是方程3x2-x+b=0的一个根,设另一根为x
则
∴
当
当
当x∈(1,2)时,f'(x)>0
∴当
又
即当x∈[-1,2]时,f(x)的量大值为f(2)=2+c(3分)
∵对x∈(-1,2)时,f(x)<c2恒成立,∴c2≥2+c,∴c≤-1或c≥2(3分)
故c的取值范围是:(-∞,-1]∪[2,+∞)(1分)
点评:本题考查函数的导数的几何意义,导数值是该点处切线的斜率值,以及函数的导数在函数的最值中的应用和不等式恒成立问题,属于中档题.
练习册系列答案
相关题目