题目内容
在△ABC中,角A、B、C的对边分别为a、b、c,
.
(I)求cosC; (II)若![]()
【答案】
(I)
(II)![]()
【解析】
试题分析:(I)利用同角三角函数的基本关系式,再由
可得![]()
(II)先由向量的数量积得
的关系,再根据余弦定理求![]()
试题解析:(I)![]()
![]()
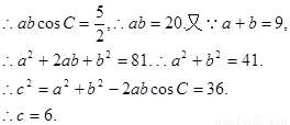
(II)![]()
![]()
考点:1、同角三角函数的基本关系式;2、向量的数量积;3、余弦定理.
练习册系列答案
相关题目
在△ABC中,角A、B、C所对的边分别为a,b,c,若b2+c2-a2=
bc,且b=
a,则下列关系一定不成立的是( )
| 3 |
| 3 |
| A、a=c |
| B、b=c |
| C、2a=c |
| D、a2+b2=c2 |