题目内容
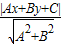
(Ⅰ)在平面直角坐标系中,已知某点P(x,y),直线l:Ax+By+C=0.求证:点P到直线l的距离(Ⅱ)已知抛物线C:y2=4x的焦点为F,点P(2,0),O为坐标原点,过P的直线l与抛物线C相交于A,B两点,若向量
【答案】分析:(Ⅰ)分类讨论,利用构造直角三角形的方法,可以证明结论成立;
(Ⅱ)当直线l⊥x轴时,与已知矛盾,设直线方程代入抛物线方程,利用韦达定理,借助于
,可得直线的斜率,从而可得直线l的方程.
解答:(Ⅰ)证明:当A=0,B≠0时,直线l:y=-
,点P到直线l的距离d=|
+y|;
当A≠0,B=0时,直线l:x=-
,点P到直线l的距离d=|
+x|
当AB≠0时,如图,
则R(
,y),S(
)
∴PR=|
|,PS=|
|
PQ是直角△PRS斜边上的高,由三角形面积公式可得PQ=
=
综上知,点P到直线l的距离
.
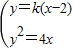
(Ⅱ)解:当直线l⊥x轴时,与已知矛盾;
故可设直线方程:y=k(x-2),A(x1,y1),B(x2,y2)
∴
,∴ky2-4y-8k=0
∴
.
代入抛物线方程可得:
∵
,∴cos2θ(x1x2+y1y2)=-2
∴
,
解得tanθ=k=±1
∴l:x±y-2=0
点评:本题考查点到直线距离的证明,考查直线与抛物线的位置关系,考查向量知识的运用,考查学生分析解决问题的能力,属于中档题.
(Ⅱ)当直线l⊥x轴时,与已知矛盾,设直线方程代入抛物线方程,利用韦达定理,借助于
解答:(Ⅰ)证明:当A=0,B≠0时,直线l:y=-
当A≠0,B=0时,直线l:x=-
当AB≠0时,如图,
∴PR=|
PQ是直角△PRS斜边上的高,由三角形面积公式可得PQ=
综上知,点P到直线l的距离
(Ⅱ)解:当直线l⊥x轴时,与已知矛盾;
故可设直线方程:y=k(x-2),A(x1,y1),B(x2,y2)
∴
∴
代入抛物线方程可得:
∵
∴
解得tanθ=k=±1
∴l:x±y-2=0
点评:本题考查点到直线距离的证明,考查直线与抛物线的位置关系,考查向量知识的运用,考查学生分析解决问题的能力,属于中档题.
练习册系列答案
相关题目