题目内容
已知函数f(x)=(x-a)2(x-b)(a,b∈R,a<b),
(Ⅰ)当a=1,b=2时,求曲线y=f(x)在点(2,f(2))处的切线方程;
(Ⅱ)设x1,x2是f(x)的两个极值点,x3是f(x)的一个零点,且x3≠x1,x3≠x2,证明:存在实数x4,使得x1,x2,x3,x4按某种顺序排列后构成等差数列,并求x4。
(Ⅰ)当a=1,b=2时,求曲线y=f(x)在点(2,f(2))处的切线方程;
(Ⅱ)设x1,x2是f(x)的两个极值点,x3是f(x)的一个零点,且x3≠x1,x3≠x2,证明:存在实数x4,使得x1,x2,x3,x4按某种顺序排列后构成等差数列,并求x4。
解:(Ⅰ)当a=1,b=2时,因为f′(x)=(x-1)(3x-5),
故f′(2)=1,
又f(2)=0,
所以f(x)在点(2,0)处的切线方程为y=x-2.
(Ⅱ)证明:因为
,
由于a<b,故
,
所以f(x)的两个极值点为
,
不妨设
,
因为x3≠x1,x3≠x2,且x3是f(x)的零点,故x3=6,
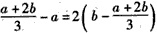
又因为
,
,
此时
依次成等差数列,
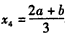
所以存在实数x4满足题意,且
。
故f′(2)=1,
又f(2)=0,
所以f(x)在点(2,0)处的切线方程为y=x-2.
(Ⅱ)证明:因为
由于a<b,故
所以f(x)的两个极值点为
不妨设
因为x3≠x1,x3≠x2,且x3是f(x)的零点,故x3=6,
又因为
此时
所以存在实数x4满足题意,且
练习册系列答案
相关题目
|
A、(
| ||||
B、(
| ||||
C、(
| ||||
D、[
|