题目内容
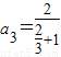
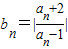
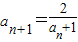
已知数列{an}和{bn}中,a1=2,
【答案】分析:由a1=2,
,
,n∈N*,分别求出b1,b2,b3,b4,b5,b6,b7,b8,由此能求出结果.
解答:解:∵a1=2,
,
,n∈N*,
∴b1=
=4,
=
,b2=
=8,
=
,
=16,
a4=
=
,b4=
=32,
a5=
=
,b5=
=64,
a6=
=
,b6=
=128,
a7=
=
,b7=
=256,
a8=
=
,b8=
=512.
∴若bk不超过257,则最大的正整数k=7.
故答案为:16,7.
点评:本题考查等差数列与等比数列的应用,考查递推公式的应用,解题时要认真审题,注意等价转化思想的合理运用.
解答:解:∵a1=2,
∴b1=
a4=
a5=
a6=
a7=
a8=
∴若bk不超过257,则最大的正整数k=7.
故答案为:16,7.
点评:本题考查等差数列与等比数列的应用,考查递推公式的应用,解题时要认真审题,注意等价转化思想的合理运用.
练习册系列答案
相关题目