题目内容
若方程log2(ax2-2x+2)=2在区间
【答案】分析:方程log2(ax2-2x+2)=2在区间
有解,转化为在
内有值使
成立,求出函数的值域即可得到a的范围.
解答:解:方程log2(ax2-2x+2)=2在
内有解,则ax2-2x-2=0在
内有解,
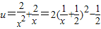
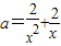
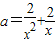
即在
内有值使
成立,
设
,
当
时,
,
∴
,
∴a的取值范围是
.
故答案为:
点评:考查存在性问题求参数范围,本题是存在性,求值域.应细心体会.此类题一般难度较大,要求有较强的逻辑推理能力进行正确的转化.
解答:解:方程log2(ax2-2x+2)=2在
即在
设
当
∴
∴a的取值范围是
故答案为:
点评:考查存在性问题求参数范围,本题是存在性,求值域.应细心体会.此类题一般难度较大,要求有较强的逻辑推理能力进行正确的转化.
练习册系列答案
相关题目