题目内容
(1)已知f(x)=(2)设函数f(x)是定义在R上的偶函数,并在区间(-∞,0)内单调递增,f(2a2+a+1)<f(3a2-2a+1).求a的取值范围.
【答案】分析:(1)由已知可知,f(-1)=-f(1)成立,代入即可求解m
(2)由已知及偶函数的性质可知f(x)在区间(0,+∞)内单调递减,结合已知不等式及2a2+a+1>0,3a2-2a+1>0恒成立,可得2a2+a+1>3a2-2a+1,解不等式可求
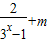
解答:解:(1)由题意可得,x≠0
∵f(x)=
是奇函数
∴f(-1)=-f(1)
∴
=-(1+m)
∴m=1
(2)∵函数f(x)是定义在R上的偶函数,并在区间(-∞,0)内单调递增,
∴f(x)在区间(0,+∞)内单调递减
∵f(2a2+a+1)<f(3a2-2a+1)且2a2+a+1>0,3a2-2a+1>0恒成立,
∴2a2+a+1>3a2-2a+1
即a2-3a<0
∴0<a<3
点评:本题主要考查了奇函数的性质的简单应用及函数的单调性及奇偶性在求解不等式中的综合应用
(2)由已知及偶函数的性质可知f(x)在区间(0,+∞)内单调递减,结合已知不等式及2a2+a+1>0,3a2-2a+1>0恒成立,可得2a2+a+1>3a2-2a+1,解不等式可求
解答:解:(1)由题意可得,x≠0
∵f(x)=
∴f(-1)=-f(1)
∴
∴m=1
(2)∵函数f(x)是定义在R上的偶函数,并在区间(-∞,0)内单调递增,
∴f(x)在区间(0,+∞)内单调递减
∵f(2a2+a+1)<f(3a2-2a+1)且2a2+a+1>0,3a2-2a+1>0恒成立,
∴2a2+a+1>3a2-2a+1
即a2-3a<0
∴0<a<3
点评:本题主要考查了奇函数的性质的简单应用及函数的单调性及奇偶性在求解不等式中的综合应用
练习册系列答案
相关题目
已知f(x)的定义域为x∈R且x≠1,已知f(x+1)为奇函数,当x<1时,f(x)=2x2-x+1,那么,当x>1时,f(x)的递减区间是( )
A、[
| ||
B、[1,
| ||
C、[
| ||
D、(1,
|