题目内容
已知椭圆
的离心率为
,椭圆的短轴端点与双曲线
的焦点重合,过点
且不垂直于
轴直线
与椭圆
相交于
、
两点.
(Ⅰ)求椭圆
的方程;
(Ⅱ)求
的取值范围.
【答案】
(Ⅰ)
;(Ⅱ)
【解析】
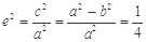
试题分析:(Ⅰ)根据椭圆的短轴端点与双曲线
的焦点重合,可求得
.由离心率
及
求
.(Ⅱ)设直线
的方程为
,代入椭圆方程,整理得:
则点
、
的横坐标是该方程的两个根.利用根与系数的关系用
表示出
,由此可求得
的取值范围.
试题解析:(Ⅰ)由题意知
,∴
,即
2分
又双曲线的焦点坐标为
,
,
3分
∴
故椭圆的方程为
6分
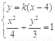
(Ⅱ)解:由题意知直线
的斜率存在,设直线
的方程为![]()
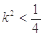
由
得:
由
得:
7分
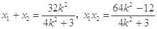
设
,则
∴
9分
![]()
-![]()
+
=
11分
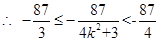
,
,
13分
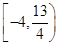
![]()
即
的取值范围是
15分
考点:1、圆锥曲线的方程;2、直线与圆锥曲线的关系;3、二次方程根与系数的关系;4、函数的范围
练习册系列答案
相关题目
已知椭圆的离心率为e,两焦点分别为F1、F2,抛物线C以F1为顶点、F2为焦点,点P为抛物线和椭圆的一个交点,若e|PF2|=|PF1|,则e的值为( )
A、
| ||||
B、
| ||||
C、
| ||||
| D、以上均不对 |
已知椭圆的离心率为
,焦点是(-3,0),(3,0),则椭圆方程为( )
| 1 |
| 2 |
A、
| ||||
B、
| ||||
C、
| ||||
D、
|