题目内容
在△ABC中,内角A,B,C,对边的边长分别是a,b,c,已知c=2,C=
,
(Ⅰ)若△ABC的面积等于
,求a,b;
(Ⅱ)若sinB=2sinA,求△ABC的面积。
(Ⅰ)若△ABC的面积等于
(Ⅱ)若sinB=2sinA,求△ABC的面积。
解:(Ⅰ)由余弦定理得,
,
又因为△ABC的面积等于
,
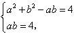
所以
,得ab=4,
联立方程组
,解得a=2,b=2。
(Ⅱ)由正弦定理,已知条件化为b=2a,
联立方程组
,解得
,
所以△ABC的面积
。
又因为△ABC的面积等于
所以
联立方程组
(Ⅱ)由正弦定理,已知条件化为b=2a,
联立方程组
所以△ABC的面积
练习册系列答案
相关题目