搜索
题目内容
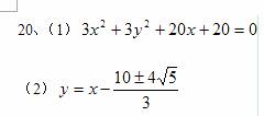
(12分)已知两定点为A,B且
,动点P到两定点的距离之比为
。
(8分)适当建立直角坐标系,并求动点P的轨迹方程C
(2)(4分)若直线
的斜率
且与曲线C相切,求直线
的方程
试题答案
相关练习册答案
答案
练习册系列答案
课课通同步随堂检测系列答案
单元智测卷系列答案
课课练小学英语AB卷系列答案
点击金牌学业观察系列答案
新思维同步练习册系列答案
名校夺冠系列答案
全真模拟决胜期末100分系列答案
新课程同步学案专家伴读系列答案
高效学习有效课堂课时作业本系列答案
千里马语文课外阅读训练系列答案
相关题目
关 闭
试题分类
高中
数学
英语
物理
化学
生物
地理
初中
数学
英语
物理
化学
生物
地理
小学
数学
英语
其他
阅读理解答案
已回答习题
未回答习题
题目汇总
试卷汇总
练习册解析答案