搜索
题目内容
问
m
为何值时,复数
z
=(
m
-1)+(
m
-1)(
m
+2)i的值为零.
试题答案
相关练习册答案
答案:
解析:
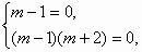
解析:∵
z
=0,
∴
∴m=1.
练习册系列答案
中考怎么考命题解读系列答案
真题专项分类系列答案
学与练系统归类总复习系列答案
教与学智能教材学案系列答案
BEST学习丛书长沙中考数理化冲A特训系列答案
新疆中考模拟试卷系列答案
备战中考8加2系列答案
超能学典江苏13大市名牌小学毕业升学真卷精编系列答案
68所名校图书小升初押题卷名校密题系列答案
学与练小考宝典毕业模拟卷系列答案
相关题目
问m为何值时,复数z=(m-1)+(m-1)(m+2)i的值为零?
关 闭
试题分类
高中
数学
英语
物理
化学
生物
地理
初中
数学
英语
物理
化学
生物
地理
小学
数学
英语
其他
阅读理解答案
已回答习题
未回答习题
题目汇总
试卷汇总
练习册解析答案