题目内容
已知函数f(x)=log4(4x+1)+kx(k∈R)是偶函数。
(1)求k的值;
(2)设g(x)=log4(a
2x-
a),若函数f(x)与g(x)的图象有且只有一个公共点,求实数a的取值范围。
(1)求k的值;
(2)设g(x)=log4(a
解:(Ⅰ)由函数
是偶函数可知:
∴
即
对一切
恒成立
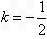
∴
(Ⅱ)函数f(x)与g(x)的图象有且只有一个公共点
即方程
有且只有一个实根
化简得:方程
有且只有一个实根
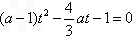
令t=2x>0 ,则方程
有且只有一个正根
①
,不合题意;
②
若
,不合题意;
若
③一个正根与一个负根,即
以上结果经过验证均满足
综上:实数 的取值范围是
∴
∴
(Ⅱ)函数f(x)与g(x)的图象有且只有一个公共点
即方程
化简得:方程
令t=2x>0 ,则方程
①
②
若
若
③一个正根与一个负根,即
以上结果经过验证均满足
综上:实数 的取值范围是
练习册系列答案
相关题目