题目内容
已知数列{an}的前n项和为Sn,且(1)求a1,a2;
(2)设bn=log3|an|,求数列{bn}的通项公式.
【答案】分析:(1)利用数列递推式,n取1,2,即可求a1,a2;
(2)确定{an}是等比数列,求得数列{an}的通项,从而可数列{bn}的通项公式.
解答:解:(1)由已知4S1=a1+1,即4a1=a1+1,∴a1=
,…(3分)
又4S2=a2+1,即4(a1+a2)=a2+1,∴
; …(6分)
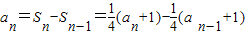
(2)当n>1时,
,
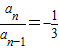
即3an=-an-1,∴
对n≥2恒成立,
∴{an}是首项为
,公比为
的等比数列,…(10分)
∴
,
∴
,即bn=-n. …(13分)
点评:本题考查数列递推式,考查数列的通项,确定数列为等比数列是关键.
(2)确定{an}是等比数列,求得数列{an}的通项,从而可数列{bn}的通项公式.
解答:解:(1)由已知4S1=a1+1,即4a1=a1+1,∴a1=
又4S2=a2+1,即4(a1+a2)=a2+1,∴
(2)当n>1时,
即3an=-an-1,∴
∴{an}是首项为
∴
∴
点评:本题考查数列递推式,考查数列的通项,确定数列为等比数列是关键.
练习册系列答案
相关题目
已知数列{an}的前n项和Sn=an2+bn(a、b∈R),且S25=100,则a12+a14等于( )
| A、16 | B、8 | C、4 | D、不确定 |