题目内容
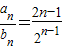
设{an}是等差数列,{bn}是各项都为正数的等比数列,且a1=b1=1,a3+b5=21,a5+b3=13(Ⅰ)求{an}、{bn}的通项公式;
(Ⅱ)求数列
【答案】分析:(Ⅰ)设{an}的公差为d,{bn}的公比为q,根据等比数列和等差数列的通项公式,联立方程求得d和q,进而可得{an}、{bn}的通项公式.
(Ⅱ)数列
的通项公式由等差和等比数列构成,进而可用错位相减法求得前n项和Sn.
解答:解:(Ⅰ)设{an}的公差为d,{bn}的公比为q,则依题意有q>0且
解得d=2,q=2.
所以an=1+(n-1)d=2n-1,bn=qn-1=2n-1.
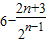
(Ⅱ)
.
,①
,②
②-①得
,=
=
=
.
点评:本题主要考查等差数列的通项公式和用错位相减法求和.
(Ⅱ)数列
解答:解:(Ⅰ)设{an}的公差为d,{bn}的公比为q,则依题意有q>0且
解得d=2,q=2.
所以an=1+(n-1)d=2n-1,bn=qn-1=2n-1.
(Ⅱ)
②-①得
点评:本题主要考查等差数列的通项公式和用错位相减法求和.
练习册系列答案
相关题目
设{an}是等差数列,a1+a3+a5=9,a6=9.则这个数列的前6项和等于( )
| A、12 | B、24 | C、36 | D、48 |