题目内容
已知等比数列{an}中,
【答案】分析:设公比为q,由已知得
,解得
,a1=8,由此利用等比数列的通项公式和前n项和公式能求出其第4项及前5项和.
解答:解:设公比为q,…(1分)
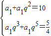
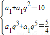
由已知得
…(3分)②
即
…(5分)
②÷①得
,…(7分)
将
代入①得 a1=8,…(8分)
∴
,…(10分)
…(12分)
点评:本题考查等比数列的通项公式和前n项和公式的求法,是基础题.解题时要认真审题,仔细解答,注意合理地进行等价转化.
解答:解:设公比为q,…(1分)
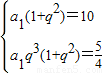
由已知得
即
②÷①得
将
∴
点评:本题考查等比数列的通项公式和前n项和公式的求法,是基础题.解题时要认真审题,仔细解答,注意合理地进行等价转化.
练习册系列答案
相关题目