题目内容
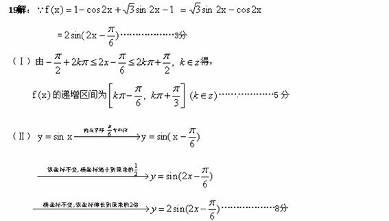
已知函数,.
(Ⅰ)求函数的单调增区间;
(Ⅱ)函数的图像可由函数的图像经过怎样的变换得到?
已知,,则= .
已知等差数列的前项和为,若,,则公差等于 .
下列说法中,正确的是
A.数据 5,4,4,3,5,2 的众数是 4
B.一组数据的标准差是这组数据的方差的平方
C.数据 2,3,4,5 的标准差是数据 4,6,8,10 的标准差的一半
D.频率分布直方图中各小长方形的面积等于相应各组的频数
化简:= .
已知sin(+α)=,那么cosα=( )
A.- B.- C. D.
已知=,则tan q=( ).
A. B. C. D.
下列结论正确的是
(A)当x>0且x≠1时,lgx+≥2(B)当x>0时,+≥2 (C)x≥2时,x+的最小值为2 (D)当0<x≤2时,x-无最大值
已知,则的值是 ( )