题目内容
已知函数f(x)=x2+
+alnx(x>0),
(Ⅰ)若f(x)在[1,+∞)上单调递增,求a的取值范围;
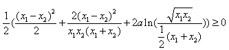
(Ⅱ)若定义在区间D上的函数y=f(x)对于区间D上的任意两个值x1、x2总有以下不等式
成立,则称函数y=f(x)为区间D上的“下凸函数”。试证当a≤0时,f(x)为“下凸函数”。
(Ⅰ)若f(x)在[1,+∞)上单调递增,求a的取值范围;
(Ⅱ)若定义在区间D上的函数y=f(x)对于区间D上的任意两个值x1、x2总有以下不等式
解:(1)
,
令
,
f(x)在[1,+∞)上单调递增,即
在[1,+∞)上恒成立,
∴
,
而a≥0时,
在[1,+∞)上恒成立,
故
。
(2)a≤0时,

,
由均值不等式,
,
,
∴
,
即
成立。
令
f(x)在[1,+∞)上单调递增,即
∴
而a≥0时,
故
(2)a≤0时,
由均值不等式,
∴
即
练习册系列答案
相关题目
| π |
| 2 |
A、f(x)=2sin(πx+
| ||
B、f(x)=2sin(2πx+
| ||
C、f(x)=2sin(πx+
| ||
D、f(x)=2sin(2πx+
|