题目内容
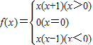
已知函数
,则f(e)=
- A.0
- B.e(e-1)
- C.e
- D.e(e+1)
D
分析:根据题意可得函数为分段函数,因此在求函数值时应该先观察自变量所在的范围,进而代入正确的解析式得到答案.
解答:由题意可得:函数
,
因为e>0,
所以f(e)=e(e+1).
故选D.
点评:解决此类问题的关键是熟悉分段函数的特征,自变量所在的范围不同则其解析式不同,做题时应该注意观察.
分析:根据题意可得函数为分段函数,因此在求函数值时应该先观察自变量所在的范围,进而代入正确的解析式得到答案.
解答:由题意可得:函数
因为e>0,
所以f(e)=e(e+1).
故选D.
点评:解决此类问题的关键是熟悉分段函数的特征,自变量所在的范围不同则其解析式不同,做题时应该注意观察.
练习册系列答案
相关题目